http://mathprofi.ru/nesobstvennye_integraly.html
Определенный интеграл
называется несобственным интегралом, если выполняется, по крайней мере, одно из следующих условий:
- Предел a или b (или оба предела) являются бесконечными;
- Функция f (x) имеет одну или несколько точек разрыва внутри интервала [a,b].
Пусть f (x) является непрерывной функцией в интервале [a, ?). Несобственный интеграл определяется через предел следующим образом:

Рассмотрим также случай, когда функция f (x) непрерывна в интервале (??, b]. В этом случае несобственный интеграл определяется как

Если указанные выше пределы существуют и конечны, то говорят что несобственные интегралы сходятся.
В противном случае интегралы расходятся.
Пусть f (x) является непрерывной функцией на множестве действительных чисел. Тогда справедливо соотношение

Если для некоторого действительного числа c оба интеграла в правой части сходятся, то говорят, что интеграл
также сходится; в противном случае он расходится.
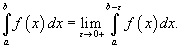
Пусть функция f (x) непрерывна в интервале [a,b), но имеет разрыв в точке x = b. В этом случае несобственный интеграл определяется в виде

Аналогично можно рассмотреть случай, когда функция f (x) непрерывна в интервале (a,b], но имеет разрыв при x = a. Тогда

Если приведенные выше пределы существуют и конечны, то говорят, что соответствующие несобственные интегралы сходятся. В противном случае они считаются расходящимися.
Пусть f (x) непрерывна для всех действительных x в интервале [a,b], за исключением некоторой точки
. Тогда справедливо соотношение

и говорят, что несобственный интеграл
сходится, если оба интеграла в правой части верхнего равенства сходятся. В противном случае несобственный интеграл расходится.
