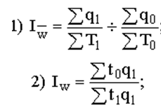
Динамика производительности труда в зависимости от метода измерения ее уровня анализируется при помощи статистических индексов: натуральных (1), трудовых (2, 3) и стоимостных (4):
.png)
3) индекс акад. С.Г. Струмилина
.png)
Для анализа изменения средней выработки под влиянием ряда факторов используется система индексов средних величин или система агрегатных индексов, в которых в качестве индексируемой величины выступает уровень производительности труда отдельных единиц совокупности, а в качестве весов – количество (в абсолютном выражении) таких единиц с разным уровнем производительности труда или их удельный вес в общей численности (dт):
.png)
Влияние производительности труда как интенсивного фактора и затрат рабочего времени как экстенсивного фактора на изменение объема продукции наглядно отображают диаграммы (знаки Варзара). В упрощенном виде анализ производится по следующей методике.
Общее изменение объема продукции .png)
Изменение объема продукции под влиянием изменения производительности труда .png)
Изменение объема продукции под влиянием изменения численности работников или отработанного ими времени .png)
В итоге .png)
