пользователей:
30398
предметов:
12406
вопросов:
234839
Конспект-online
РЕГИСТРАЦИЯ
ЭКСКУРСИЯ
Павел Краснов
3 семестр
:
»
Сопромат
»
Термех
»
Матан
»
dad
Ряд и формула Тейлора/ Маклорена. Многочлен Тейлора/ Маклорена. Остаточный член в форме Лагранжа
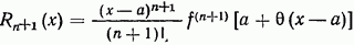
Остаточный член в форме Лагранжа:
23.01.2017; 06:45
комментариев: 0
хиты: 216
рейтинг:
0
для добавления комментариев необходимо
авторизироваться
.
Copyright © 2013-2025. All Rights Reserved.
помощь