Енергія зарядженого конденсатора дорівнює роботі зовнішніх сил, яку потрібно виконати, щоб зарядити конденсатор.
Процес зарядки конденсатора можна представити як послідовне перенесення достатньо малих порцій заряду Δq > 0 з одної обкладки конденсатора на другу (мал. 1). При цьому одна обкладка поволі зарядиться додатнім зарядом, а друга – від’ємним. Оскільки кожна порція переноситься в умовах, коли на обкладках вже є деякий заряд q, а між ними існує деяка різниця потенціалів
U = q/C
при перенесенні кожної порції Δq зовнішні сили повинні виконати роботу:
ΔА = UΔq = qΔq/C
![]() |
| Мал. 1 Процес зарядки конденсатора |
Енергія We конденсатора ємності C, зарядженого зарядом Q, може бути знайдена шляхом інтегрування цього виразу в межах от 0 до Q:
We = A = Q2/2C
Формулу, що виражає енергію зарядженого конденсатора, можна переписати в іншій еквівалентній формі, якщо скористатись співвідношенням Q = CU:
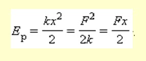
Електричну енергію We слід розглядати як потенціальну енергію, запасену в зарядженому конденсаторі. Формули для We аналогічні формулам для потенціальної енергії Ep деформованої пружини
де k – жорсткість пружини, x – деформація, F = kx – зовнішня сила.
З міркувань локалізації електричного поля в конденсаторі, електрична енергія конденсатора локалізована в просторі між обкладками конденсатора. Тому її називають енергією електричного поля. Це легко розглянути на прикладі зарядженого плоского конденсатора.
Напруженість однорідного поля в пласкому конденсаторі дорівнює E = U/d, а його ємність
С = εε0S/d.
Тому:
де V = Sd – об’єм простору між обкладками, зайнятий електричним полем. З цього співвідношення випливає, що фізична величина
є електричною (потенціальною) енергією одиниці об’єму простору, в якому створено електричне поле. Її називають об’ємною густиною електричної енергії.
Енергія поля, створеного будь-яким розподілом електричних зарядів в просторі, може бути знайдена завдяки інтегруванню об’ємної густини we по всьому об’єму, в якому існує електричне поле.





